오늘은 직교하는 벡터들과 부분공간들에 대해서 간단히 다뤄보도록 하겠습니다.
직교하는 성질은 공학에서도 중요한 성질입니다. 직교성(Orthogonality)가 충족된다면, 독립(independence)를 보장해주기 때문입니다. 또한 선형대수에서도 중요한 성질이며 계산을 편리하게 해주는 역할도 해줍니다.
벡터가 직교한다는 것
벡터가 직교한다는 것은 다음과 같은 성질을 만족할 때 직교한다는 것입니다. 참고로 직교는 직각이라는 뜻입니다.

이렇게 생겼을 것입니다.
그러면 벡터가 직교한다는 것을 어떻게 알 수 있을까요?

두 벡터를 내적했을 때, 값이 0이 나온다면 그 두 벡터는 직교하는 것입니다.
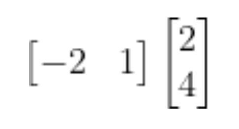
위의 그림의 벡터들을 수식으로 나타내보면,

가 되며, -2 x 2 + 1 x 4 = 0이 되므로 직교인 것을 알 수 있습니다.
부분공간과의 연관성
어떤 부분공간 ((S))와 ((T))가 있다고 해봅시다. 만약 ((S))와 ((T))가 직교한다면, 부분공간 안에 있는 모든 벡터들도 직교합니다.
이걸 그대로 우리가 알고 있는 부분공간들에 적용을 해보겠습니다. 부분공간이 잘 기억나지 않으시는 분들은 이전 게시물을 참고하면 좋습니다.https://jaehoonstudy.tistory.com/16
Four Fundamental Subspaces(4개의 주요 부분공간)
오늘은 선형대수의 4개의 주요 부분공간에 대해서 다뤄보려고 합니다. 간단히 다루고, 다음 게시물에서 이를 찾아내는 방법에 대해서 가우스-조던 소거법과 함께 다뤄보도록 하겠습니다. 4 Fundam
jaehoonstudy.tistory.com
4개의 부분공간들을 다룬 그림을 다시 한 번 보겠습니다.

Row space와 Nullspace에 해당하는 직사각형들이 서로 직각으로 위치해 있습니다. 이는 이 두 부분공간들이 직교한다는 뜻입니다. 왜 직교하는지 아주 간단하게, 눈으로 증명해보겠습니다.
Nullspace를 나타내는 법은 위 그림에서도 볼 수 있듯이, ((A))((x)) ((=)) ((0))입니다.

이렇게 쓸 수 있겠습니다. 그런데 행렬과 벡터를 곱할 때 Row way로 곱해주면, 0이 나오는 걸 알 수 있습니다.
*Row way로 곱해준다는 뜻은?
그래서
row 1과 ((x))랑 곱하면 영벡터의 첫째 0이 나오고,
row 2과 ((x))랑 곱하면 영벡터의 둘째 0이 나오고,
row 3과 ((x))랑 곱하면 영벡터의 셋째 0이 나오고,
이런 식입니다.

그러면 자연스럽게 vector ((x))는 ((A))의 모든 row vector와 곱해져도 0이 나온다는 것이고, 이는 곧 ((A))의 모든 row vector와 직교한다는 뜻입니다. row vector들이 row space를 구성하고, nullspace는 ((A))((x)) ((=)) ((0))으로 만들어주는 모든 벡터 ((x))이므로, row space와 nullspace는 orthogonal 하다는 것을 알 수 있습니다.
((A))를 transpose해준다면, column space ((C(A)))와 left nullspace ((N(A^{T})))도 마찬가지로 직교한다는 것을 알 수 있습니다.
마지막으로, 하나만 더 보도록 하겠습니다.

row space의 차원을 ((r))이라고 할 때, nullspace의 차원은 ((n)) - ((r))입니다. 그럼 row space의 차원과 nullspace의 차원을 더하면 ((r)) + ((n)) - ((r))로, full dimension인 ((n))이 나옵니다.
이는 곧, ((R^{n}))에 존재하는 모든 벡터 ((x))를 ((x_{row})) ((+)) ((x_{nullspace}))로 나타낼 수 있음을 뜻합니다. 이에 대해서는 다음 게시물에서 projection과 함께 다시 알아보도록 하겠습니다.
'Linear Algebra' 카테고리의 다른 글
| 그람-슈미트 과정(Gram-Schmidt Process) - part 1 (1) | 2024.02.16 |
|---|---|
| 부분공간에 벡터 투영시키기(Projection onto Subspaces) (0) | 2024.02.16 |
| Solving ((A))((x)) ((=)) ((b)) (When ((m)) < ((n))) (2) | 2024.01.30 |
| 선형연립방정식의 해의 존재성 (1) | 2024.01.30 |
| Gauss-Jordan Elimination(가우스-조던 소거법) & RREF (1) | 2024.01.29 |
